Cartas Circulares
Carta Circular 2024-03
Carta Circular 2020-02
Carta Circular 2020-01
Carta Circular 2016-10
Carta Circular 2016-09
Carta Circular 2016-05


Carta Circular 2016-03


Carta Circular 2015-02

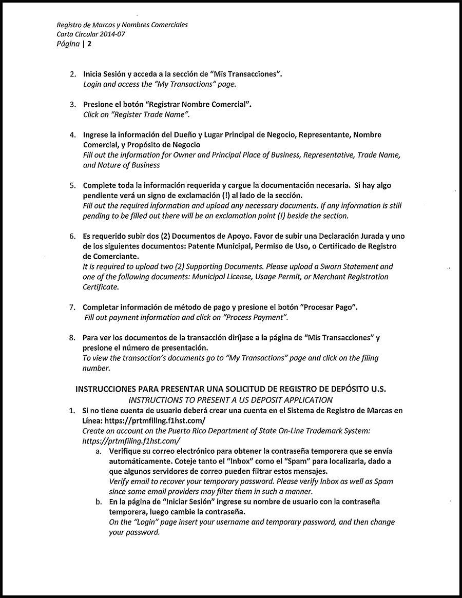
Carta Circular 2014-07


Carta Circular 2014-04
Carta Circular 2014-02

Carta Circular 2013-13
Carta Circular 2013-09

Carta Circular 2013-07

Carta Circular 2013-06

Carta Circular 2013-05

Carta Circular 2013-04
Carta Circular 2013-03
Carta Circular 2013-02